二氧化(hua)鋯空心微球(qiu)制備技(ji)術
與其他(ta)空心微球(qiu)制備方(fang)法(fa)相似,空心二氧化(hua)鋯陶(tao)瓷微(wei)球(qiu)的制備方(fang)法(fa)眾多,主(zhu)要(yao)包(bao)括(kuo)模板法(fa)、溶劑(ji)熱(re)法(fa)、噴霧(wu)幹燥法(fa)和等離子(zi)燒結(jie)法(fa)等。模(mo)板(ban)法(fa)是以(yi)預(yu)先(xian)制備的模板(ban)作為(wei)內(nei)核進(jin)行空(kong)心顆粒(li)的合(he)成(cheng),模板(ban)的形(xing)狀(zhuang)決定了(le)空心顆粒(li)的形(xing)貌(mao);溶(rong)劑(ji)熱(re)、噴(pen)霧(wu)幹燥和(he)等離子(zi)燒結(jie)等方(fang)法(fa)制備空(kong)心微球(qiu)的過程(cheng)摒(bing)棄了(le)使(shi)用模板(ban)作為(wei)基底,它們(men)主要(yao)是利用Ostwald熟(shu)化(hua)過程進(jin)行空(kong)心結(jie)構(gou)的調控。以上(shang)這(zhe)些(xie)制備手段同樣廣(guang)泛應(ying)用於(yu)氮(dan)化(hua)物[16]、碳化(hua)物[17]及(ji)其(qi)他氧化(hua)物[18]空心微球(qiu)的制備上(shang)。
2.1 模(mo)板(ban)法(fa)
模板(ban)法(fa)是制備空(kong)心微球(qiu)的壹(yi)類常(chang)用方法(fa)[19,20]。模板(ban)法(fa)是在(zai)顆粒(li)的制備過(guo)程(cheng)中(zhong),采(cai)用液滴、氣(qi)腔(qiang)和(he)膠粒(li)等模(mo)板(ban)作為(wei)顆粒(li)形(xing)成(cheng)的基底,通過(guo)吸附、沈澱(dian)、界(jie)面(mian)反(fan)應等過(guo)程(cheng),在基底表面(mian)形(xing)成(cheng)所需要(yao)的顆粒(li),再(zai)通(tong)過(guo)燒結(jie)氧化(hua)、化(hua)學腐蝕(shi)、氧(yang)化(hua)還原(yuan)等過(guo)程(cheng)去除(chu)模(mo)板(ban),從(cong)而得到空(kong)心陶(tao)瓷微(wei)球(qiu)[21]。模(mo)板(ban)法(fa)制備空(kong)心微球(qiu)示意圖如(ru)圖(tu)1[21]所(suo)示。模(mo)板(ban)法(fa)具(ju)有(you)原(yuan)理簡(jian)單(dan)、重(zhong)復率高(gao)以(yi)及(ji)性(xing)能穩(wen)定等特點,近年來(lai),越來(lai)越多的研究人員(yuan)采用模板(ban)法(fa)進(jin)行二氧化(hua)鋯空心微球(qiu)的制備[11]。
圖(tu)1 模(mo)板(ban)法(fa)制備空(kong)心微球(qiu)示意圖[21]Fig.1 Schematic diagram of hollow spheres prepared by templating process[21]模(mo)板(ban)法(fa)由(you)於(yu)效率高(gao)、適應(ying)性(xing)強而(er)得(de)到了(le)廣泛的研究,制備ZrO2空(kong)心微球(qiu)時常(chang)用的模板(ban)包括(kuo)PS球(qiu)、膠態碳球(qiu)及(ji)生(sheng)物模板(ban)等[22-24]。Liu等[25]以(yi)碳(tan)質(zhi)多糖(tang)微(wei)球(qiu)為(wei)硬(ying)模板(ban),采(cai)用非均(jun)相成(cheng)核包(bao)裹技(ji)術成(cheng)功制備了(le)粒(li)徑(jing)2 μm、壁(bi)厚(hou)約100 nm的ZrO2空心微球(qiu)。首先將碳質(zhi)多糖(tang)微(wei)球(qiu)模(mo)板(ban)分(fen)散在(zai)乙(yi)醇(chun)中(zhong)並(bing)與壹(yi)定比(bi)例的氯(lv)氧(yang)化(hua)鋯前驅物均(jun)勻混(hun)合(he),而(er)後(hou)加(jia)熱(re)混(hun)合(he)物使(shi)溶(rong)劑(ji)在(zai)穩(wen)定的溫(wen)度(du)下揮發,並(bing)向其中加(jia)入(ru)30% H2O2溶液(ye);最後經(jing)冷(leng)卻(que)、離心、高(gao)溫(wen)煆(duan)燒後得(de)到(dao)ZrO2空心微球(qiu)。研究發現(xian),H2O2能夠促進(jin)鋯離子(zi)的水(shui)解(jie)和沈澱(dian),並(bing)且(qie)碳質(zhi)多糖(tang)微(wei)球(qiu)可以較(jiao)好(hao)地成(cheng)為沈(chen)澱(dian)的形(xing)核(he)中(zhong)心並(bing)可通過(guo)後續的煆燒去除(chu)。高(gao)立爽(shuang)等[26]以(yi)油(you)菜花(hua)粉(fen)為(wei)生(sheng)物模板(ban),通(tong)過水(shui)浴(yu)-陳化(hua)法(fa)制備了(le)納/微米(mi)結(jie)構(gou)ZrO2空(kong)心微球(qiu)。研究發現(xian),花(hua)粉(fen)預(yu)處(chu)理方(fang)式對(dui)於(yu)ZrO2中(zhong)空微球(qiu)的形(xing)貌(mao)及(ji)壁(bi)厚具(ju)有(you)重(zhong)要(yao)影(ying)響。Guo等[23]以(yi)膠態碳球(qiu)為(wei)模(mo)板(ban)制備了(le)殼結(jie)構(gou)可控的ZrO2空心微球(qiu)。首先以(yi)葡萄糖(tang)為(wei)原(yuan)料,采用水(shui)熱(re)法(fa)制備膠態碳球(qiu)模(mo)板(ban);進(jin)而以(yi)氨(an)水(shui)為(wei)pH調節(jie)劑(ji)、以(yi)氯(lv)化(hua)鋯為前驅物得到(dao)Zr(OH)4/膠態碳球(qiu)復合(he)顆粒(li);最後經(jing)過(guo)離心、洗滌(di)、煆(duan)燒後得(de)到(dao)ZrO2空心微球(qiu)。研究發現(xian),制備過(guo)程(cheng)中(zhong)加(jia)入(ru)表面(mian)活性劑(聚(ju)乙(yi)二醇(chun)-1000)可以得(de)到具(ju)有(you)多孔殼(ke)結(jie)構(gou)的空心微球(qiu),從(cong)而(er)實現(xian)空心微球(qiu)殼(ke)結(jie)構(gou)的有(you)效調控。Ge等[27]以(yi)CaCO3為(wei)模板,采用沈澱(dian)法(fa)成(cheng)功制備得(de)到(dao)了(le)粒(li)徑(jing)1 μm、壁(bi)厚(hou)20 nm的ZrO2空心微球(qiu)。首先進(jin)行CaCO3模(mo)板(ban)的制備並(bing)通(tong)過沈澱(dian)法(fa)得到(dao)CaCO3/ZrO2復合(he)顆粒(li),再(zai)經(jing)過(guo)酸洗去(qu)除(chu)CaCO3模(mo)板(ban),最後經(jing)過(guo)煆燒制備得(de)到(dao)四(si)方(fang)相ZrO2空心微球(qiu)。研究發現(xian),前驅物濃度(du)和反(fan)應時間(jian)對(dui)空心微球(qiu)的形(xing)貌(mao)和(he)粒(li)度(du)有(you)重(zhong)要(yao)影(ying)響,前驅物濃度(du)過大會(hui)導致(zhi)實心顆粒(li)的形(xing)成(cheng),反(fan)應時間(jian)過(guo)短容易(yi)形(xing)成(cheng)不穩(wen)定的薄壁(bi)空心顆粒(li),因(yin)此(ci),合(he)適的前驅物濃度(du)和反(fan)應時間(jian)對(dui)於(yu)采(cai)用模板(ban)法(fa)制備穩(wen)定的ZrO2空心微球(qiu)至(zhi)關(guan)重(zhong)要(yao)。模(mo)板法(fa)在ZrO2空(kong)心微球(qiu)形(xing)貌(mao)的控制上(shang)表現(xian)出(chu)色,但(dan)是(shi)存在(zai)模板(ban)合(he)成(cheng)及(ji)後(hou)續去除(chu)過(guo)程(cheng)繁(fan)瑣(suo)等問題(ti),並(bing)且(qie)對於(yu)制備工(gong)藝(yi)的要求(qiu)較高(gao),容易(yi)造成(cheng)材料的浪費以(yi)及(ji)空(kong)心微球(qiu)的破(po)壞(huai)。同時,空(kong)心微球(qiu)的大小受制於(yu)模(mo)板的尺寸(cun),目(mu)前模板(ban)法(fa)制備空(kong)心微球(qiu)的尺寸(cun)多為(wei)10 μm以(yi)下,難(nan)以(yi)應用在噴(pen)塗領域。為了(le)克服模板(ban)法(fa)制備空(kong)心微球(qiu)所(suo)存在(zai)的缺點(dian),實現(xian)較寬(kuan)粒(li)度(du)範(fan)圍(wei)的空心微球(qiu)制備,研究人員(yuan)提出(chu)了(le)壹(yi)些基於(yu)Ostwald熟(shu)化(hua)過程制備ZrO2空(kong)心微球(qiu)的方法(fa)。
2.2 溶劑(ji)熱(re)法(fa)
溶劑(ji)熱(re)法(fa)是指(zhi)在(zai)特制的密閉反(fan)應器中(zhong),采(cai)用有(you)機溶劑(ji)作為(wei)反(fan)應介(jie)質(zhi),通(tong)過(guo)對反(fan)應體(ti)系(xi)加(jia)熱(re)加(jia)壓(ya)而創造壹(yi)個相對高(gao)溫(wen)高(gao)壓(ya)的反(fan)應環(huan)境(jing),使(shi)得(de)通(tong)常(chang)難(nan)溶(rong)或(huo)不溶(rong)的物質(zhi)溶(rong)解(jie)並(bing)重(zhong)結(jie)晶而進(jin)行目(mu)標材料制備的壹(yi)種(zhong)有(you)效方法(fa)[28]。溶劑(ji)熱(re)法(fa)也(ye)是制備ZrO2空(kong)心微球(qiu)的壹(yi)種(zhong)有(you)效方法(fa)[29],它規避了(le)模板的使(shi)用,因此(ci)不存在(zai)模板(ban)的合(he)成(cheng)及(ji)後(hou)續去除(chu)等問題(ti)。Guo等[30]以(yi)無(wu)水(shui)乙(yi)醇(chun)作為(wei)溶(rong)劑,以ZrOCl2⋅8H2O和Y(NO3)3⋅6H2O作為(wei)前驅物,並(bing)加(jia)入(ru)尿素和(he)鹽(yan)酸,在(zai)反(fan)應釜中(zhong)於(yu)160℃反(fan)應12 h成(cheng)功制備了(le)粒(li)徑(jing)1.2~1.5 μm且(qie)壁(bi)厚約125 nm的YSZ空心微球(qiu)。Shu等[31]在(zai)乙(yi)醇(chun)/丁(ding)醇(chun)-乙(yi)酰(xian)丙酮體(ti)系(xi)中,以(yi)ZrOCl2⋅8H2O和Y(NO3)3⋅6H2O為前驅物,采用無(wu)模(mo)板的溶劑(ji)熱(re)法(fa)制備了(le)YSZ空心球(qiu)。研究發現(xian),空心球(qiu)是(shi)基於(yu)顆粒(li)由(you)內(nei)而外(wai)的Ostwald熟(shu)化(hua)過程而(er)形(xing)成(cheng)的;並(bing)且(qie)可以通(tong)過調(tiao)節(jie)醇(chun)的種(zhong)類(lei)及(ji)前驅體(ti)的濃度(du)實現(xian)YSZ空心球(qiu)尺寸(cun)的有(you)效調控。溶劑(ji)熱(re)法(fa)特有(you)的高(gao)溫(wen)高(gao)壓(ya)環境(jing)使(shi)得(de)反(fan)應物性能改變、活性提升(sheng),得(de)到(dao)的空心微球(qiu)具(ju)有(you)粒(li)徑(jing)分(fen)布(bu)窄、形(xing)貌(mao)可控的優勢(shi)。但(dan)是,溶(rong)劑熱(re)法(fa)的反(fan)應條件(jian)相對苛刻,並(bing)且(qie)涉(she)及(ji)到(dao)產品的後續分離及(ji)洗滌(di)、幹燥等過(guo)程(cheng),難(nan)以(yi)進(jin)行批(pi)量(liang)化(hua)制備。
2.3 噴(pen)霧(wu)幹燥法(fa)
噴霧(wu)幹燥法(fa)是制備噴(pen)塗塗層用原(yuan)料的重(zhong)要(yao)方(fang)法(fa),通過(guo)使(shi)用適當(dang)的有(you)機黏(nian)合(he)劑(ji)聚(ju)集不同的小顆粒(li)進(jin)而從(cong)漿(jiang)料中經(jing)幹燥獲取(qu)顆粒(li)團(tuan)聚(ju)體。漿(jiang)料在幹燥過(guo)程(cheng)中(zhong)發生(sheng)快(kuai)速(su)傳(chuan)熱(re)和(he)傳質(zhi),根(gen)據(ju)操作參(can)數、漿(jiang)料特性的不同,得(de)到(dao)諸如(ru)空(kong)心、致密(mi)、多孔等形(xing)態(tai)各(ge)異的球(qiu)形(xing)或(huo)其他(ta)形(xing)狀(zhuang)的顆粒(li)團(tuan)聚(ju)體[32,33]。噴(pen)霧(wu)造粒(li)得(de)到(dao)不(bu)同結(jie)構(gou)的團(tuan)聚(ju)顆粒(li)如(ru)圖(tu)2[32]所(suo)示。漿(jiang)料在噴(pen)霧(wu)幹燥過(guo)程(cheng)霧(wu)化(hua)為球(qiu)形(xing)液(ye)滴後(hou)的快速(su)幹燥階(jie)段(duan),液(ye)滴中(zhong)的水(shui)分(fen)快速(su)蒸(zheng)發產(chan)生(sheng)毛(mao)細(xi)管(guan)力(li),進(jin)而液(ye)滴內(nei)部(bu)的細小顆粒(li)在(zai)毛(mao)細(xi)管力(li)的作用下向表面(mian)遷移並(bing)最終形(xing)成(cheng)空心顆粒(li),如(ru)圖(tu)3[34]所(suo)示。因(yin)此(ci),在(zai)噴(pen)霧(wu)幹燥過(guo)程(cheng)中(zhong),漿(jiang)料的分散性(xing)是(shi)決定團(tuan)聚(ju)顆粒(li)結(jie)構(gou)的關鍵(jian)因素,高(gao)分(fen)散性(xing)漿(jiang)料中細(xi)小顆粒(li)的遷移阻力(li)更(geng)小,更(geng)有(you)助(zhu)於(yu)獲取(qu)具(ju)有(you)空(kong)心結(jie)構(gou)的顆粒(li)團(tuan)聚(ju)體。
圖(tu)2 噴霧(wu)幹燥制備顆粒(li)的結(jie)構(gou)示意圖[32]Fig.2 Structure diagrams of particles prepared by spray drying process[32]
圖(tu)3 噴(pen)霧(wu)幹燥制備空(kong)心顆粒(li)的過程(cheng)示意圖[34]Fig.3 Schematic diagram of preparation of hollow particles by spray drying process[34]Mahdjoub等[35]和(he)Bertrand等[36]研究了(le)漿(jiang)料特性對YSZ噴霧(wu)造粒(li)顆粒(li)結(jie)構(gou)的影響(xiang),通過(guo)調(tiao)控漿(jiang)料的pH值和(he)引(yin)入(ru)表面(mian)活性劑來(lai)調控漿(jiang)料的分散性(xing),並(bing)通(tong)過沈澱(dian)高(gao)度(du)比(bi)(Ratio Sediment Height, RSH, 即漿(jiang)料靜置90 h後(hou),沈(chen)澱(dian)層(ceng)高(gao)度(du)與漿(jiang)料總(zong)高(gao)度(du)之比(bi))來(lai)表示漿(jiang)料的穩(wen)定性(xing)。當(dang)RSH<53%時,YSZ噴(pen)霧(wu)造粒(li)顆粒(li)基本為空心結(jie)構(gou);當(dang)RSH>62%時則(ze)基本為實心結(jie)構(gou);同時,空(kong)心顆粒(li)的壁厚(hou)隨著(zhe)RSH減(jian)小而(er)降低。Loghman-Estarki等[37]用噴霧(wu)幹燥法(fa)進(jin)行適用於(yu)噴(pen)塗的YSZ納米(mi)顆粒(li)團(tuan)聚(ju)體的制備,並(bing)研究了(le)黏(nian)結(jie)劑PVA的含量(liang)對噴(pen)霧(wu)造粒(li)顆粒(li)特性的影響(xiang)。研究發現(xian),漿(jiang)料中PVA的含量(liang)對噴(pen)霧(wu)造粒(li)顆粒(li)的形(xing)貌(mao)和(he)粒(li)度(du)具(ju)有(you)重(zhong)要(yao)的影響(xiang)。當漿(jiang)料中不(bu)添加(jia)PVA時,得(de)到(dao)的球(qiu)形(xing)空(kong)心顆粒(li)中(zhong)存在(zai)較多的非球(qiu)形(xing)多面(mian)體顆粒(li);當(dang)漿(jiang)料中PVA含(han)量(liang)為5wt%~15wt%時,噴(pen)霧(wu)得(de)到(dao)的多為(wei)球(qiu)形(xing)或(huo)準球(qiu)形(xing)的顆粒(li)。造粒(li)顆粒(li)的直(zhi)徑(jing)隨(sui)著(zhe)PVA含(han)量的變化(hua)可以由(you)經驗(yan)公式(1)表示。

式中(zhong),SMD為(wei)索特爾(er)中位粒(li)徑(jing),C為(wei)常(chang)數且和霧(wu)化(hua)器設計有(you)關(guan),ρ, μ, σ, U和
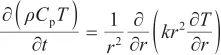
分別表示液(ye)體(ti)(L)或(huo)空氣(qi)(A)的密度(du)、黏(nian)度(du)、表面(mian)張力(li)、速(su)度(du)和流(liu)量(liang)速(su)率(lv)。當(dang)漿(jiang)料中的PVA含量(liang)增大時,漿(jiang)料的黏(nian)度(du)隨之(zhi)增大,從而(er)獲得(de)更(geng)大尺寸(cun)的噴霧(wu)顆粒(li)。進(jin)壹(yi)步地,Loghman-Estarki等[38]研究了(le)球(qiu)磨(mo)過(guo)程(cheng)對(dui)於(yu)噴(pen)霧(wu)幹燥顆粒(li)特性的影響(xiang)。首先采(cai)用濕化(hua)學法(fa)制備得(de)到(dao)了(le)尺寸(cun)30~50 nm的Y2O3和Sc2O3共(gong)摻(chan)雜(za)的ZrO2納米(mi)顆粒(li)(SYSZ)[39],進(jin)而通(tong)過(guo)球(qiu)磨(mo)法(fa)獲取(qu)噴霧(wu)所(suo)需的漿(jiang)料,最後經(jing)過(guo)噴霧(wu)幹燥過(guo)程(cheng)得(de)到團(tuan)聚(ju)顆粒(li)。研究發現(xian),球(qiu)磨(mo)使(shi)得(de)團(tuan)聚(ju)的納米(mi)顆粒(li)得(de)到(dao)較(jiao)好(hao)的分散,並(bing)且(qie)有(you)助(zhu)於(yu)獲取(qu)具(ju)有(you)準球(qiu)形(xing)形(xing)貌(mao)的空心顆粒(li)。作者(zhe)進(jin)壹(yi)步研究了(le)噴霧(wu)幹燥制備團(tuan)聚(ju)體的形(xing)成(cheng)過程(cheng),噴霧(wu)幹燥過(guo)程(cheng)中(zhong)熱(re)量(liang)經熱(re)傳(chuan)導的方式由(you)顆粒(li)表面(mian)傳遞(di)到(dao)內(nei)部(bu),關系式如(ru)式(2)所(suo)示。
, 0≤r≤R(t), t>0
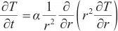
式中(zhong),T為(wei)溫(wen)度(du),k為熱(re)導(dao)率,ρ為(wei)密度(du),Cp為熱(re)容,r和(he)R(t)分別表示顆粒(li)徑(jing)向直(zhi)徑(jing)及(ji)其(qi)徑向位置,假設k不受徑(jing)向位置和(he)時間(jian)的影響(xiang),則(ze)式(2)可以轉化(hua)為:
, 0≤r≤R(t), t>0
式中(zhong),
為熱(re)擴散系(xi)數,
=k/ρCp,熱(re)傳(chuan)遞過(guo)程可以表示為(wei):

|
式中(zhong),為(wei)熱(re)流(liu)量(liang),A為(wei)接(jie)觸(chu)面(mian)積(ji),ΔT為溫(wen)度(du)差異。因此(ci),噴(pen)霧(wu)漿(jiang)料中的黏(nian)結(jie)劑PVA (p)和(he)去(qu)離子(zi)水(shui)(w)的分解(jie)及(ji)揮(hui)發過(guo)程(cheng)可以表示為(wei):
|
|
|
(4)
|
|
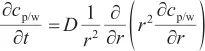
, 0≤r≤R(t), t>0
|
(5)
|
其中(zhong),D為(wei)二元擴散系(xi)數,
是指(zhi)黏(nian)結(jie)劑PVA (p)或(huo)去離子(zi)水(shui)(w)的含量(liang)。去離子(zi)水(shui)的蒸(zheng)發溫(wen)度(du)為200~295℃,而(er)PVA的分解(jie)揮發溫(wen)度(du)為300~571℃[38]。由(you)於(yu)噴(pen)霧(wu)幹燥的入(ru)口溫(wen)度(du)為225~235℃,因(yin)此去離子(zi)水(shui)可以較(jiao)好(hao)的去除(chu),而(er)PVA則(ze)遺(yi)留(liu)在(zai)顆粒(li)內(nei)。噴霧(wu)幹燥法(fa)制備得(de)到(dao)的YSZ空心粉(fen)體(ti)由(you)於(yu)顆粒(li)強度(du)較弱,在(zai)噴塗應用的過程(cheng)中容易(yi)破(po)碎從(cong)而(er)失去(qu)空心顆粒(li)的特性,因此在(zai)使(shi)用前需要(yao)對顆粒(li)進(jin)行高(gao)溫(wen)燒結(jie)以提升(sheng)其(qi)強度(du)。
2.4 等離子(zi)體(ti)燒結(jie)法(fa)
等離子(zi)體(ti)燒結(jie)法(fa)是采(cai)用等離子(zi)體(ti)作為(wei)熱(re)源(yuan),通過(guo)對其(qi)他方式制備的多孔ZrO2團(tuan)聚(ju)粉(fen)末(mo)進(jin)行熱(re)處(chu)理來(lai)制備空(kong)心球(qiu)形(xing)顆粒(li)的工藝(yi)方法(fa)[40]。等離子(zi)體(ti)具(ju)有(you)溫(wen)度(du)高(gao)、傳(chuan)熱(re)快(kuai)、冷卻(que)速(su)率(lv)大等特點,是壹(yi)種(zhong)顆粒(li)球(qiu)化(hua)、燒結(jie)及(ji)新型材料制備的有(you)效方法(fa),國內(nei)外開(kai)展了(le)大量的研究工作[41,42]。經(jing)過(guo)等離子(zi)體(ti)處(chu)理的粉(fen)末(mo)不僅具(ju)有(you)良好(hao)的球(qiu)形(xing)度(du)和優異的流(liu)動(dong)性(xing),而(er)且(qie)在提升(sheng)顆粒(li)的致密(mi)性、機械(xie)強度(du)等方(fang)面(mian)也(ye)具(ju)有(you)顯著(zhu)優勢(shi)。同時,等離子(zi)體(ti)技(ji)術在空(kong)心微球(qiu)的制備上(shang)也(ye)具(ju)有(you)良好(hao)的應用效果[43-48]。Zhao等[49]以(yi)噴(pen)霧(wu)幹燥工(gong)藝(yi)得(de)到的YSZ團(tuan)聚(ju)粉(fen)末(mo)為原(yuan)料,采用等離子(zi)體(ti)燒結(jie)法(fa)制備得(de)到(dao)了(le)壁厚3 μm的YSZ空心微球(qiu)。作者(zhe)通過控制顆粒(li)離開(kai)等離子(zi)體(ti)火(huo)焰時周圍環(huan)境(jing)的溫(wen)度(du),實現(xian)了(le)空心微球(qiu)壁(bi)厚(hou)的有(you)效調控。研究發現(xian),在顆粒(li)離開(kai)等離子(zi)體(ti)火(huo)焰後的區(qu)域(yu)內(nei)增加(jia)保溫(wen)功能,可以防(fang)止顆粒(li)表面(mian)的快速(su)固化(hua),使(shi)得(de)YSZ熔(rong)融(rong)液(ye)滴充(chong)分(fen)膨(peng)脹(zhang),從而減(jian)小了(le)空心微球(qiu)的壁厚(hou)。Solonenko等[50,51]以(yi)噴(pen)霧(wu)造粒(li)的ZrO2團(tuan)聚(ju)顆粒(li)為(wei)原(yuan)料,采用等離子(zi)燒結(jie)技(ji)術進(jin)行ZrO2空(kong)心微球(qiu)的制備。作者(zhe)認為(wei),噴(pen)霧(wu)造粒(li)的ZrO2團(tuan)聚(ju)顆粒(li)通(tong)常(chang)是(shi)具(ju)有(you)壹(yi)定開(kai)孔孔隙(xi)率(lv)的非均(jun)勻結(jie)構(gou);團(tuan)聚(ju)顆粒(li)在(zai)經(jing)過(guo)等離子(zi)體(ti)的高(gao)溫(wen)火(huo)焰時,孔隙(xi)內(nei)的氣體(ti)膨脹(zhang)後(hou)部(bu)分離開(kai)顆粒(li),同時其(qi)表面(mian)迅速(su)熔(rong)融(rong)而形(xing)成(cheng)的液膜(mo)使(shi)得(de)孔隙(xi)內(nei)的壹(yi)部(bu)分氣體(ti)得以封(feng)閉在(zai)顆粒(li)內(nei)部(bu);隨著(zhe)顆粒(li)的進(jin)壹(yi)步熔(rong)融,顆粒(li)內(nei)部(bu)的氣體(ti)形(xing)成(cheng)空心結(jie)構(gou),熔(rong)融的顆粒(li)表面(mian)所形(xing)成(cheng)的液膜(mo)在淬冷的環境(jing)下形(xing)成(cheng)球(qiu)殼(ke),從(cong)而(er)制備得(de)到(dao)具(ju)有(you)空(kong)心結(jie)構(gou)的ZrO2微球(qiu),其(qi)空(kong)心化(hua)過程如(ru)圖(tu)4[50]所(suo)示。作者(zhe)進(jin)壹(yi)步對(dui)等離子(zi)體(ti)制備空(kong)心微球(qiu)過(guo)程(cheng)中(zhong)團(tuan)聚(ju)顆粒(li)的變化(hua)進(jin)行了(le)分析(xi)[50],等離子(zi)體(ti)中(zhong)完全(quan)熔(rong)融的顆粒(li)因(yin)為(wei)體(ti)積(ji)膨脹(zhang),顆粒(li)尺寸(cun)增大,熔融(rong)顆粒(li)半徑的變化(hua)可以由(you)式(6)得(de)到(dao)。
圖4 等離子(zi)體(ti)燒結(jie)形(xing)成(cheng)空心結(jie)構(gou)的原(yuan)理示意圖[50]Fig.4 Principle schematic diagram of formation of hollow particles by plasma sintering process[50]

|
|
(6)
|
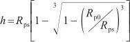
其中(zhong),Rp0為(wei)顆粒(li)的初始(shi)半徑,
和
分別表示固態和熔(rong)融態(tai)下顆粒(li)的密度(du)。熔融(rong)的顆粒(li)經(jing)淬冷後,顆粒(li)的半徑Rps=Rp0+ΔRp;形(xing)成(cheng)空心顆粒(li)後(hou),顆粒(li)內(nei)部(bu)的空腔(qiang)半徑Rh=Rp0+ΔRp-h;因(yin)此(ci),空心微球(qiu)的壁厚(hou)h可以由(you)式(7)計算(suan)得(de)到(dao)。

|
|
(7)
|
Qiu等[52]以(yi)中(zhong)位徑46.43 μm且空(kong)心比(bi)例不足(zu)10%的YSZ粉(fen)末(mo)為原(yuan)料,采用三(san)陰極(ji)等離子(zi)體(ti)炬燒結(jie)制備得(de)到(dao)了(le)球(qiu)化(hua)率接(jie)近100%、顆粒(li)中(zhong)位徑52.38 μm、空心顆粒(li)比(bi)例93.4%且平均(jun)壁厚(hou)僅為(wei)3.63 μm的四(si)方(fang)相YSZ粉(fen)末(mo),合(he)成(cheng)的空心微球(qiu)及(ji)顆粒(li)的空心化(hua)過程如(ru)圖(tu)5所(suo)示。
圖(tu)5 等離子(zi)燒結(jie)法(fa)制備的空心微球(qiu)及(ji)空(kong)心化(hua)過程[52]:(a), (b) 空(kong)心微球(qiu)截面(mian)顯微(wei)圖像(xiang); (c) 空心化(hua)過程示意圖Fig.5 YSZ hollow microspheres prepared by plasma sintering and their formation process[52]: (a), (b) microscopic images of the cross-section of hollow microspheres; (c) schematic diagram of formation process of YSZ hollow microspheres研究者(zhe)將等離子(zi)體(ti)燒結(jie)制備空(kong)心微球(qiu)的過程(cheng)分為(wei)熔(rong)化(hua)、體積(ji)變化(hua)及(ji)固化(hua)三(san)個階段(duan)。在(zai)熔化(hua)階段,粉(fen)末(mo)中的氣體(ti)被加(jia)熱(re)、膨(peng)脹、逃(tao)逸(yi),若(ruo)等離子(zi)體(ti)提供(gong)的焓不(bu)足(zu),則(ze)難(nan)以(yi)將粉(fen)末(mo)熔化(hua),熱(re)壁(bi)噴嘴(zui)可以提供(gong)足(zu)夠的焓以(yi)及(ji)適合(he)的粉(fen)末(mo)加(jia)熱(re)速(su)率(lv)使(shi)得(de)顆粒(li)中(zhong)的大部(bu)分氣體(ti)得以保(bao)留(liu),從(cong)而(er)確(que)保(bao)了(le)顆粒(li)的球(qiu)化(hua)率及(ji)顆粒(li)中(zhong)的氣體(ti)含量(liang);在(zai)體(ti)積(ji)變化(hua)階段,液(ye)滴內(nei)部(bu)氣體壓(ya)力(li)、表面(mian)張力(li)及(ji)環(huan)境壓(ya)力(li)三(san)者(zhe)間保持平衡(heng)[51],提升(sheng)初(chu)始(shi)團(tuan)聚(ju)粉(fen)末(mo)的孔隙(xi)率(lv)、提高(gao)等離子(zi)體(ti)射(she)流(liu)的溫(wen)度(du)以及(ji)降低等離子(zi)體(ti)射(she)流(liu)的內(nei)部(bu)壓(ya)力(li)將更(geng)有(you)助(zhu)於(yu)獲得(de)薄(bo)壁空(kong)心顆粒(li);在(zai)固化(hua)階段,適當(dang)降低液(ye)滴的冷卻(que)固化(hua)速(su)率(lv)將更(geng)有(you)助(zhu)於(yu)獲得(de)高(gao)空(kong)心化(hua)率的粉(fen)末(mo)。因此,等離子(zi)體(ti)燒結(jie)法(fa)制備ZrO2空(kong)心微球(qiu)時,所(suo)用前驅物的特性、等離子(zi)體(ti)參(can)數的優化(hua)以及(ji)燒結(jie)過程(cheng)的控制都將對空(kong)心微球(qiu)的性能產生(sheng)重(zhong)要(yao)影(ying)響。ZrO2空心微球(qiu)不(bu)同制備方(fang)法(fa)的特點如(ru)表1所示。模(mo)板(ban)法(fa)是制備空(kong)心微球(qiu)的常(chang)用方法(fa),模板(ban)法(fa)制備的ZrO2空心微球(qiu)具(ju)有(you)粒(li)度(du)分布(bu)窄、空心化(hua)率高(gao)等優勢(shi),但(dan)往往(wang)存在(zai)模板(ban)合(he)成(cheng)及(ji)後(hou)續去除(chu)過(guo)程(cheng)繁(fan)瑣(suo)等問題(ti)。溶劑(ji)熱(re)法(fa)制備空(kong)心微球(qiu)時不(bu)使(shi)用模板(ban),得到(dao)的粉(fen)體(ti)具(ju)有(you)粒(li)度(du)分布(bu)窄、形(xing)貌(mao)可控的優點(dian),但(dan)是溶(rong)劑熱(re)法(fa)反(fan)應條件(jian)苛(ke)刻(ke),難(nan)以(yi)進(jin)行批(pi)量(liang)化(hua)制備。噴(pen)霧(wu)幹燥法(fa)和等離子(zi)燒結(jie)法(fa)是批(pi)量(liang)制備噴(pen)塗用ZrO2空心微球(qiu)的重(zhong)要(yao)方(fang)法(fa),其中(zhong)噴(pen)霧(wu)幹燥法(fa)得到(dao)的空心顆粒(li)強度(du)較低(di)。等離子(zi)體(ti)燒結(jie)後制備得(de)到(dao)的空心微球(qiu)強度(du)相對較高(gao)、流(liu)動(dong)性(xing)好(hao),可以直(zhi)接(jie)用於(yu)等離子(zi)噴(pen)塗。
表1 ZrO2空心微球(qiu)制備方(fang)法(fa)總(zong)結(jie)Table 1 The summary of preparation techniques of ZrO2 hollow microspheres
噴霧(wu)幹燥和(he)等離子(zi)體(ti)燒結(jie)法(fa)聯用更(geng)有(you)助(zhu)於(yu)制備適用於(yu)噴(pen)塗的高(gao)強度(du)ZrO2空心微球(qiu),並(bing)且(qie)顆粒(li)具(ju)有(you)球(qiu)形(xing)度(du)好(hao)、流(liu)動(dong)性(xing)優異且易(yi)於(yu)批(pi)量化(hua)制備的優勢(shi)。本課題(ti)組(zu)將噴霧(wu)幹燥工(gong)藝(yi)與熱(re)等離子(zi)體(ti)動(dong)態(tai)燒結(jie)過程(cheng)相耦(ou)合(he),進(jin)行了(le)壹(yi)系列諸如(ru)Al2O3, SiO2, Si3N4及(ji)ZrO2/YSZ等空(kong)心微球(qiu)的制備研究工作,並(bing)詳細(xi)考(kao)察了(le)漿(jiang)料特性對噴霧(wu)幹燥顆粒(li)形(xing)貌(mao)結(jie)構(gou)的影響(xiang)以及(ji)熱(re)等離子(zi)體(ti)動(dong)態(tai)燒結(jie)對顆粒(li)結(jie)構(gou)的調控過程(cheng)[40,45,53,54],最終得(de)到的YSZ空心微球(qiu)如(ru)圖(tu)6所(suo)示。
圖(tu)6 不(bu)同方(fang)法(fa)制備的YSZ空心顆粒(li):(a) 噴(pen)霧(wu)幹燥法(fa); (b) 噴霧(wu)幹燥和(he)等離子(zi)體(ti)燒結(jie)聯用Fig.6 YSZ hollow particles prepared by different methods: (a) spray drying process; (b) spray drying combined with thermal plasma sintering
3 結(jie)語與展望(wang)
隨著(zhe)科學技(ji)術的進(jin)壹(yi)步發展(zhan),ZrO2空(kong)心微球(qiu)的制備方(fang)法(fa)必將進(jin)壹(yi)步地豐(feng)富和(he)完善。當下,在眾(zhong)多ZrO2空(kong)心微球(qiu)的制備方(fang)法(fa)中,模(mo)板(ban)法(fa)和溶(rong)劑(ji)熱(re)法(fa)等制備手段存在(zai)工藝(yi)過(guo)程(cheng)復雜、合(he)成(cheng)條件(jian)苛(ke)刻(ke)且批量(liang)化(hua)制備困(kun)難(nan)等不(bu)足(zu),並(bing)且(qie)有(you)限(xian)的粒(li)度(du)調控範(fan)圍(wei)使(shi)其(qi)難(nan)以(yi)在噴塗領域獲得(de)較(jiao)好(hao)的應用。噴霧(wu)幹燥法(fa)和熱(re)等離子(zi)體(ti)動(dong)態(tai)燒結(jie)法(fa)聯用是制備應(ying)用於(yu)噴(pen)塗領域高(gao)強度(du)ZrO2空心微球(qiu)的有(you)效方法(fa),該方(fang)法(fa)不僅(jin)工(gong)藝(yi)簡(jian)單、反(fan)應參(can)數調控範(fan)圍(wei)較(jiao)大,而且(qie)制備得(de)到(dao)的空心顆粒(li)球(qiu)形(xing)度(du)高(gao)、流(liu)動(dong)性(xing)好(hao),適合(he)大規模生(sheng)產(chan);但(dan)是(shi)該方(fang)法(fa)制備空(kong)心微球(qiu)的粒(li)徑(jing)和(he)壁(bi)厚的調控難(nan)度(du)相對較大,且顆粒(li)空(kong)心化(hua)的具(ju)體過(guo)程(cheng)還(hai)有(you)待(dai)進(jin)壹(yi)步證實。以(yi)上(shang)問題(ti)的順(shun)利解決,必將推(tui)動(dong)ZrO2空(kong)心顆粒(li)在(zai)隔熱(re)塗層和輕(qing)質(zhi)隔熱(re)陶(tao)瓷等領(ling)域(yu)的應用。
氧化(hua)鋯球(qiu)是(shi)壹(yi)種(zhong)高(gao)純(chun)度(du)、高(gao)熔(rong)點(2700℃)、高(gao)硬(ying)度(du)(接(jie)近鋼鐵)的陶(tao)瓷材(cai)料。因其(qi)優秀(xiu)的物理、化(hua)學特性被廣(guang)泛用於(yu)精密磨(mo)料、金屬(shu)煉化(hua)、催化(hua)劑、鋼鐵(tie)生(sheng)產(chan)、熱(re)處(chu)理、燒結(jie)等領(ling)域(yu)。而且,其不(bu)僅具(ju)有(you)良好(hao)的磨損(sun)性(xing)能、抗腐蝕(shi)性(xing)能和溫(wen)度(du)穩(wen)定性(xing),而(er)且比(bi)鋼鐵具(ju)有(you)更(geng)好(hao)的化(hua)學穩(wen)定性(xing),因(yin)此可以用來(lai)制造精密陶(tao)瓷零(ling)件(jian),比(bi)如(ru)機械(xie)密封(feng)零(ling)件(jian)、絕緣零(ling)件(jian)等。本文將從以(yi)下三(san)個方面(mian)探討氧(yang)化(hua)鋯球(qiu)的知識(shi)點(dian):
1. 制作方(fang)法(fa)
2. 物理、化(hua)學特性
3. 應用領域(yu)
1. 制作方(fang)法(fa)
制作方(fang)法(fa)主要(yao)分(fen)為(wei)兩(liang)種(zhong):噴(pen)霧(wu)幹燥法(fa)和頂(ding)空燒結(jie)法(fa)。
噴霧(wu)幹燥法(fa)
噴霧(wu)幹燥法(fa)是將氧化(hua)鋯精粉(fen)和(he)水(shui)混(hun)合(he),在(zai)高(gao)速(su)噴(pen)霧(wu)器中(zhong)將水(shui)霧(wu)化(hua),形(xing)成(cheng)氧化(hua)鋯顆粒(li),然(ran)後(hou)將顆粒(li)輸(shu)送到幹燥器中(zhong),去(qu)除(chu)水(shui)分(fen),形(xing)成(cheng)顆粒(li)狀(zhuang)的氧化(hua)鋯。最後再(zai)將氧化(hua)鋯顆粒(li)進(jin)行球(qiu)形(xing)造粒(li)和(he)燒結(jie)。這種(zhong)方(fang)法(fa)生(sheng)產(chan)的氧化(hua)鋯球(qiu),其(qi)表面(mian)光滑(hua)度(du)好(hao),球(qiu)形(xing)度(du)高(gao),並(bing)且(qie)粒(li)徑(jing)分(fen)布(bu)均(jun)勻,但(dan)體積(ji)密度(du)較低(di)。
頂(ding)空燒結(jie)法(fa)
頂(ding)空燒結(jie)法(fa)是將氧化(hua)鋯粉(fen)末(mo)制成(cheng)模型,並(bing)在(zai)模型內(nei)部(bu)噴塗壹(yi)層高(gao)分(fen)子丙烯酸(suan)(PAA)膜(mo),然後(hou)將模型放入(ru)高(gao)溫(wen)爐(lu)中進(jin)行燒結(jie),使(shi)PAA膜(mo)分(fen)解(jie)形(xing)成(cheng)空腔(qiang),在高(gao)溫(wen)下,氧化(hua)鋯粉(fen)末(mo)顆粒(li)相互結(jie)合(he),形(xing)成(cheng)球(qiu)形(xing)氧(yang)化(hua)鋯。這種(zhong)方(fang)法(fa)生(sheng)產(chan)的氧化(hua)鋯球(qiu),其(qi)密(mi)度(du)高(gao),硬(ying)度(du)大,重(zhong)量(liang)均(jun)勻分(fen)布,但(dan)表面(mian)有(you)些(xie)粗(cu)糙(cao)。
2. 物理、化(hua)學特性
氧化(hua)鋯球(qiu)是(shi)壹(yi)種(zhong)結(jie)構(gou)致(zhi)密的陶(tao)瓷球(qiu),它具(ju)有(you)以(yi)下幾個重(zhong)要(yao)的物理、化(hua)學特性:
硬(ying)度(du)和磨(mo)損(sun)性(xing)能: 硬(ying)度(du)接(jie)近於(yu)鋼(gang)鐵,遠高(gao)於(yu)傳(chuan)統(tong)的玻(bo)璃(li)、陶(tao)瓷等材(cai)料。因此(ci),其(qi)具(ju)有(you)良好(hao)的磨損(sun)性(xing)能,抗磨損(sun)生(sheng)物陶(tao)瓷材(cai)料、醫療設備、高(gao)溫(wen)磨(mo)料材料等領(ling)域(yu)得到廣泛應(ying)用。
抗壓(ya)強度(du)和耐(nai)壓(ya)縮性(xing):其(qi)耐(nai)壓(ya)強度(du)接(jie)近於(yu)鋼(gang)鐵,並(bing)且(qie)具(ju)有(you)良好(hao)的耐(nai)沖(chong)擊性(xing)。因此,其可以用於(yu)高(gao)壓(ya)磨礦(kuang)領域、高(gao)速(su)運(yun)動(dong)傳(chuan)動(dong)件(jian)、氣(qi)體(ti)靜壓(ya)軸承和機械(xie)密封(feng)零(ling)件(jian)等高(gao)負荷(he)工作環(huan)境(jing)。
抗腐蝕(shi)性(xing)能:主要組(zu)成(cheng)成(cheng)分為(wei)氧化(hua)鋯,不含鐵元(yuan)素。因(yin)此(ci),不易(yi)生(sheng)銹,耐(nai)腐蝕(shi)性(xing)能好(hao),可以用於(yu)催化(hua)劑、化(hua)學反(fan)應器等生(sheng)產(chan)領(ling)域(yu),也(ye)可以用於(yu)在(zai)海洋(yang)、化(hua)工等腐(fu)蝕(shi)環(huan)境(jing)下的應用。
溫(wen)度(du)穩(wen)定性(xing): 具(ju)有(you)高(gao)溫(wen)穩(wen)定性(xing),因(yin)為它的熔點(dian)高(gao)達(da)2700℃,使(shi)其(qi)能夠承受高(gao)溫(wen)熱(re)處(chu)理。同時,氧(yang)化(hua)鋯球(qiu)在(zai)高(gao)溫(wen)下也(ye)能保持其抗(kang)磨(mo)損(sun)性(xing)、硬(ying)度(du)和耐(nai)壓(ya)強度(du)等優異的物理化(hua)學性能。
3. 應用領域(yu)
由(you)於(yu)其(qi)具(ju)有(you)優異的物理化(hua)學性能,因此在許(xu)多工(gong)業領域中(zhong)得到(dao)廣(guang)泛應(ying)用,主要(yao)包括(kuo)以下幾個方面(mian):
精密磨(mo)料: 硬(ying)度(du)高(gao)、磨(mo)損(sun)性(xing)能好(hao),可以制成(cheng)磨粉(fen)或(huo)磨球(qiu),作為(wei)高(gao)精度(du)表面(mian)處理(li)、拋(pao)光、切(qie)割(ge)等高(gao)精度(du)加(jia)工領(ling)域(yu)的磨料。氧化(hua)鋯磨料粒(li)度(du)均(jun)勻,表面(mian)光滑(hua)度(du)好(hao),能夠保證加(jia)工零(ling)件(jian)的表面(mian)質(zhi)量(liang)。
金(jin)屬(shu)煉化(hua):高(gao)溫(wen)穩(wen)定性(xing)好(hao),可以用於(yu)高(gao)溫(wen)環(huan)境的精煉爐(lu),作為(wei)流(liu)體(ti)的攪拌(ban)材料。此外(wai),在(zai)鋼鐵生(sheng)產(chan)中(zhong),也(ye)可以被用作噴(pen)吹(chui)嘴,起(qi)到(dao)控制流(liu)體(ti)流(liu)動(dong)的作用。
催化(hua)劑: 在化(hua)學反(fan)應中(zhong)具(ju)有(you)良好(hao)的交(jiao)互(hu)催化(hua)作用。因此(ci),它可以用作不(bu)同環(huan)境(jing)下的催化(hua)劑媒介(jie)。例如(ru),二氧化(hua)氮(dan)還(hai)原(yuan)反(fan)應、氧(yang)化(hua)亞氮(dan)還(hai)原(yuan)反(fan)應、甲(jia)烷(wan)催化(hua)劑等。
鋼(gang)鐵(tie)生(sheng)產(chan):作為(wei)鋼(gang)中間合(he)金(jin)的添加(jia)劑,可以提高(gao)鋼(gang)的硬(ying)度(du)、韌性等物理機械(xie)性能。該材(cai)料還可以用作鋼(gang)坯(pi)直(zhi)徑(jing)的調整媒介,使(shi)其(qi)達(da)到(dao)技(ji)術要求(qiu)。
絕緣材(cai)料:絕緣性(xing)能也(ye)非常(chang)強,可用於(yu)制造高(gao)壓(ya)絕緣零(ling)件(jian)等。
總(zong)之(zhi),由(you)於(yu)氧(yang)化(hua)鋯球(qiu)的優異物理、化(hua)學性能,它在(zai)各個領域(yu)中(zhong)均(jun)得到(dao)了(le)廣泛應(ying)用,為各(ge)個行業帶來(lai)了(le)很大的改善。
二、氧化(hua)鋯球(qiu)物化(hua)指標
三(san)、氧化(hua)鋯球(qiu)常(chang)規尺寸(cun)